728x90
728x90
📌 ML lec 02 - Linear Regression의 Hypothesis 와 cost 설명
Linear Regression 의 개념 (선형회귀)
Regression(회귀) : supervised learning 중에서도 레이블(=클래스)이 아닌 연속적인 값을 예측하는 문제

위의 데이터를 예시로 들면, 사람의 키(x)가 160cm일때 몸무게(y)는 몇 kg일지 그 값을 예측하는 것이다.
여기서 x를 독립변수(input), y를 종속변수(output)라고 하는데
🤷♀️ x 변수들과 y 변수와의 관계를 선형으로 나타낼 수 있다면?
=> Linear regression이라고 한다.
Linear Regression의 Hypothesis
🙋 우리가 regression 모델을 학습한다는 것은 ?
-> 하나의 가설을 세울 필요가 있다는 뜻.
=> 'Linear한 regression 모델이 우리가 가진 데이터에 맞을 것이다' 라는 가설을 세움.
- 생각보다 세상에 있는 많은 데이터들이 linear로 설명할 수 있는 경우가 많다.
Hypothesis
🙋 Linear 하게 가설을 세운다는 것은?
-> 어떤 데이터가 있다면, 거기에 가장 잘 맞는 Linear한 선을 찾는것, 그 선을 찾는것이 바로 학습을 하는 것.

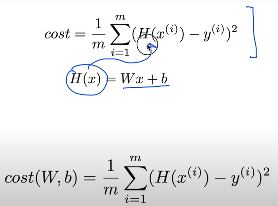
- 🤷♀️ 어떤 선이 우리가 가진 데이터에 가장 잘 맞는 선 (H(x)=Wx+b) 일까?
-> 가장 좋은 W,b 값 찾기
Linear Regression의 Cost
- Cost function ( = Loss function)
🤷♀️ 우리가 세운 가설(H(x))과 실제 데이터(y)가 얼마나 다른가?

- 가설 - 실제 데이터 = H(x) - y
- 실제 차잇값은 'H(x) - y' 인데 보통은 부호 때문에 (H(x)-y)^2 사용.
-> 제곱하는 이유 : 부호에 영향 받지 않고, 차이 크기 비교 가능


- 학습 목표(goal) : minimize cost
-> cost를 가장 최소화하는 w,b를 구하는 것이 학습 목표
728x90
728x90
'ML & DL > [강의] 모두를 위한 딥러닝 강좌 시즌 1' 카테고리의 다른 글
| [정리/모두를 위한 딥러닝] ML lec 04 - multi-variable linear regression (*new) (0) | 2022.09.15 |
|---|---|
| [정리/모두를 위한 딥러닝] ML lec 03 - Linear Regression의 cost 최소화 알고리즘의 원리 설명 (0) | 2022.09.14 |
댓글